
Et æble om dagen
Æbler har spillet en stor rolle gennem historien i myter og fortællinger.
Det var fordi Eva spiste et æble fra kundskabens træ at Gud udviste Adam og Eva fra Paradisets have.
Den store engelske fysiker og filosof Isaac Newton levede i 1600-tallet. Det fortælles at han fik et æble i hovedet, da han en sensommerdag lå og læste under et æbletræ. Det fik ham til at erkende og beskrive tyngdeloven.
Den schweiziske nationalhelt Wilhelm Tell kæmpede for sit lands uafhængighed i middelalderen. Fjenden gav ham sejren fordi det på lang afstand lykkedes ham at skyde et æble af sin søns hoved med bue og pil.
Måske har du også hørt om eventyr hvor æblet spiller en rolle.
I dag har æblet fået en sundhedsrolle. Tænk bare på udtrykket "An apple a day keeps the doctor away."
Du kan lære om
- hvad æblet består af og hvad det bruges til
- hvordan æblet fremstiller kulhydrater ved hjælp af fotosyntese
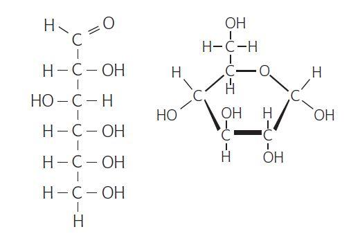
- formler for kulhydrater, monosaccharider, disaccharider og polysaccharider
- kemiske reaktioner ved fremstilling af cider og eddike
- egenskaber ved syrer og baser og om pH-værdier
- hvordan vi neutraliserer syrer og baser.


























