
Du bliver hvad du spiser
energikulhydraterproteinerfedtemulgatorersæbecarbonkredsløbetnitrogenkredsløbetgødningsprøjtemidler
Intro
Hvad er din livret? Når vi vælger, hvad vi vil spise, tænker de fleste sikkert først på, hvad vi bedst kan lide. Andre tænker på, hvad maden koster, for der er jo så meget andet at bruge penge på.
Er man bange for at blive overvægtig, få sukkersyge eller problemer med hjertet, tænker man måske på, om det man spiser er sundt. Og flere og flere bekymrer sig om miljøet og dyrevelfærd, eller foretrækker økologisk mad.
Miljøministeriet har lavet en undersøgelse om at vælge sund kost i stedet for gennemsnitlig dansk mad. Ved at gøre det øger vi både vore egen sundhed, og bidrager til at nedbringe belastningen af miljøet. Oven i købet sparer vi mere end 20 procent på udgifterne.
Til hvert forløb findes en lærervejledning samt en oversigt over, hvilke Fælles Mål forløbet opfylder.
Du kan lære om
- at mad er kemisk energi
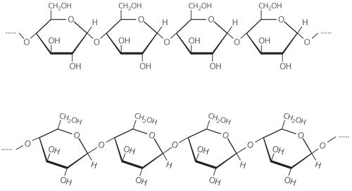
- madens indhold af kulhydrater, proteiner, fedt og kostfibre
- hvordan vores føde indgår i carbon- og nitrogenkredsløbet
- forskellen på natur- og kunstgødning og andre næringsstoffer
- hvorfor og hvordan sprøjtemidler anvendes i landbruget
- hvad fedt kan bruges til.
Emner
Outro
Forløbets opgaver
15 Eksperimenter og undersøgelser
12 Diskussions- og vidensopgaver
Opgaver i emnerne

Udfordring

Energiindhold

Varedeklarationer

Opgave 38A. Alkohol som brændstof

Kulhydrater

Fedt

Vitaminer

Opgave 41A. Proteiner i æg

Opgave 41B. Enzymer - Nedbrydning af stivelse med spyt

Opgave 41C. Påvisning af fedt

Opgave 41B2. Undersøgelse af stivelse og spyt

Opgave 41D. Nitrat i vand og grøntsager

Opgave 41E. Fra ammoniak til nitrat

Gødning

Opgave 42A. Fremstil gødning

DDT og simazin

Opgave 43A. Giftvirkning

Margarine

Emulgatorer

Opgave 45A. Sæbe

Strukturformler

Galacturonsyremethylester

Udfordring
Evaluerings- og ekstraopgaver









